First page Back Continue Last page Overview Text

Notes:


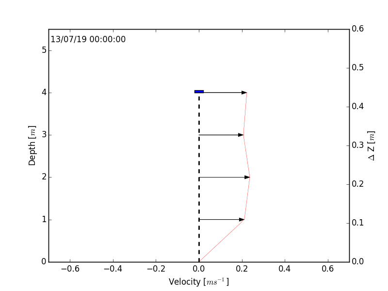
Velocity profiles in the channel between the Outer Harbour and Embayment C

●Water level fluctuations are represnted by red and blue rectangles